Официальное опубликование правовых актов
ОФИЦИАЛЬНОЕ ОПУБЛИКОВАНИЕ
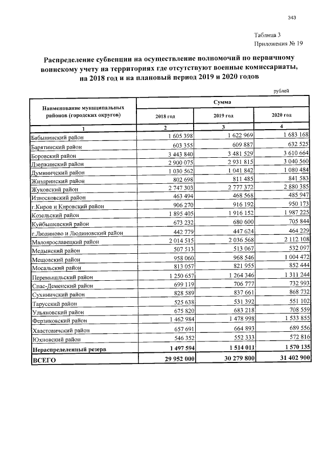
Закон Калужской области от 06.12.2018 № 417-ОЗ
"О внесении изменений в Закон Калужской области "Об областном бюджете на 2018 год и на плановый период 2019 и 2020 годов"
Номер опубликования: 4000201812120006
Дата опубликования: 12.12.2018
Страница №343 из 370:
Увеличить