Официальное опубликование правовых актов
ОФИЦИАЛЬНОЕ ОПУБЛИКОВАНИЕ
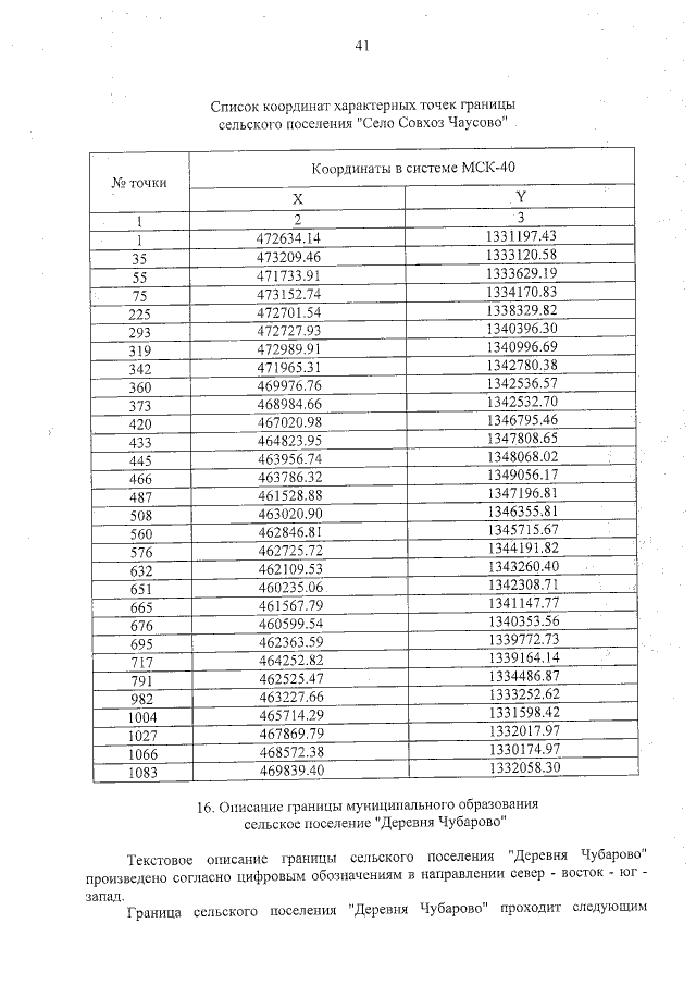
Закон Калужской области от 11.12.2018 № 423-ОЗ
"О внесении изменений в Закон Калужской области "Об установлении границ муниципальных образований, расположенных на территории административно-территориальных единиц "Бабынинский район", "Боровский район", "Дзержинский район", "Жиздринский район", "Жуковский район", "Износковский район", "Козельский район", "Малоярославецкий район", "Мосальский район", "Ферзиковский район", "Хвастовичский район", "Город Калуга", "Город Обнинск", и наделении их статусом городского поселения, сельского поселения, городского округа, муниципального района" в части установления границ муниципальных образований Жуковского района"
Номер опубликования: 4000201812140003
Дата опубликования: 14.12.2018
Страница №41 из 57:
Увеличить