Официальное опубликование правовых актов
ОФИЦИАЛЬНОЕ ОПУБЛИКОВАНИЕ
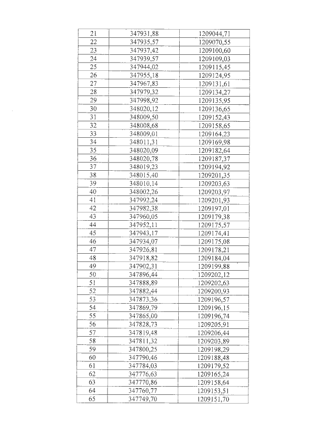
Постановление Правительства Калужской области от 14.02.2019 № 110 "Об особо охраняемой природной территории регионального значения – памятнике природы "Поселение лесных муравьев "Муравьиные столбы"
Номер опубликования: 4000201902200002
Дата опубликования: 20.02.2019
Страница №3 из 8:
Увеличить