Официальное опубликование правовых актов
ОФИЦИАЛЬНОЕ ОПУБЛИКОВАНИЕ
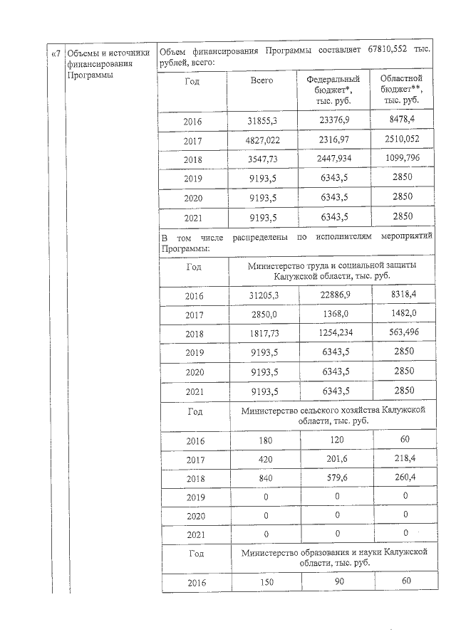
Постановление Правительства Калужской области от 14.03.2019 № 154 "О внесении изменений в постановление Правительства Калужской области от 15.03.2016 № 167 "Об утверждении государственной программы Калужской области "Оказание содействия добровольному переселению в Калужскую область соотечественников, проживающих за рубежом" (в ред. постановлений Правительства Калужской области от 12.08.2016 № 435, от 21.11.2016 № 627, от 20.03.2017 № 146, от 01.06.2017 № 333, от 26.02.2018 № 119)"
Номер опубликования: 4000201903250003
Дата опубликования: 25.03.2019
Страница №2 из 13:
Увеличить