Постановление Правительства Калужской области от 29.03.2022 № 223
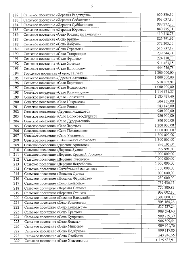
"Об утверждении распределения субсидий между муниципальными образованиями Калужской области на реализацию инициативных проектов на 2022 год"
"Об утверждении распределения субсидий между муниципальными образованиями Калужской области на реализацию инициативных проектов на 2022 год"
Номер опубликования: 4000202204010007
Дата опубликования:
01.04.2022
