Официальное опубликование правовых актов
ОФИЦИАЛЬНОЕ ОПУБЛИКОВАНИЕ
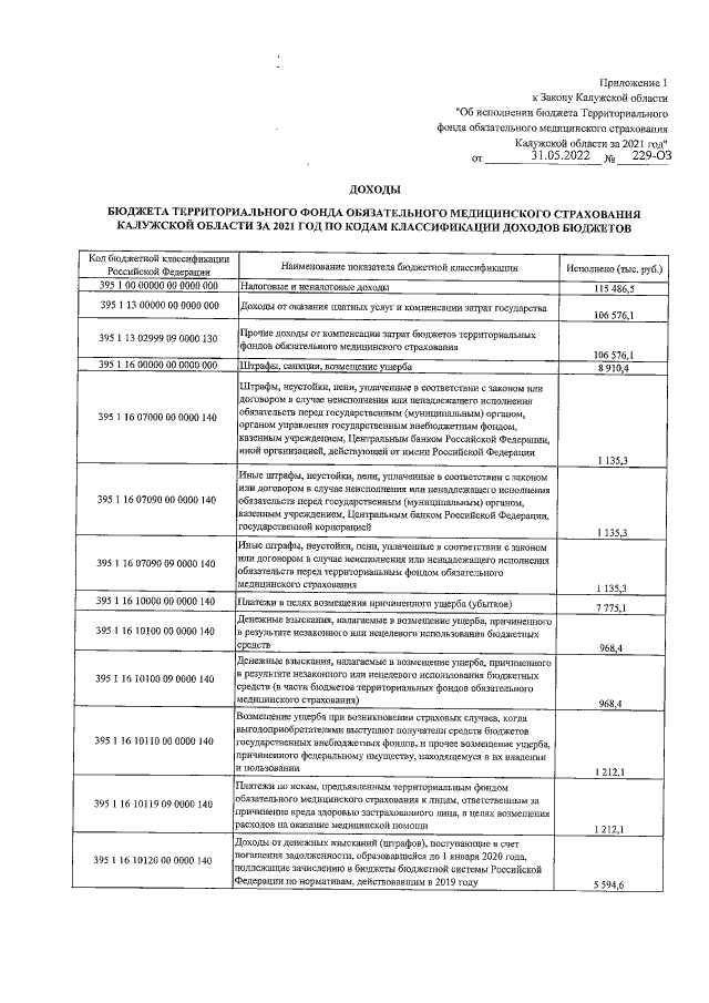
Закон Калужской области от 31.05.2022 № 229-ОЗ
"Об исполнении бюджета Территориального фонда обязательного медицинского страхования Калужской области за 2021 год"
Номер опубликования: 4000202206020009
Дата опубликования: 02.06.2022
Страница №2 из 9:
Увеличить