Официальное опубликование правовых актов
ОФИЦИАЛЬНОЕ ОПУБЛИКОВАНИЕ
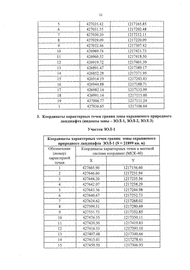
Постановление Правительства Калужской области от 31.05.2022 № 398
"Об установлении зон охраны объекта культурного наследия федерального значения "Георгиевская церковь", XVII-XVIII вв., расположенного по адресу: Калужская область, Мосальский район, г. Мосальск, ул. Дзержинского, д. 5, и утверждении требований к градостроительным регламентам в границах территорий данных зон"
Номер опубликования: 4000202206020022
Дата опубликования: 02.06.2022
Страница №13 из 26:
Увеличить