Официальное опубликование правовых актов
ОФИЦИАЛЬНОЕ ОПУБЛИКОВАНИЕ
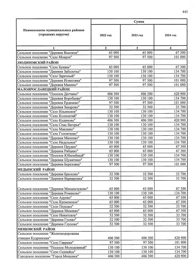
Постановление Правительства Калужской области от 30.05.2022 № 392
"О проекте закона Калужской области "О внесении изменений в Закон Калужской области "Об областном бюджете на 2022 год и на плановый период 2023 и 2024 годов"
Номер опубликования: 4000202206020028
Дата опубликования: 02.06.2022
Страница №446 из 458:
Увеличить