Официальное опубликование правовых актов
ОФИЦИАЛЬНОЕ ОПУБЛИКОВАНИЕ
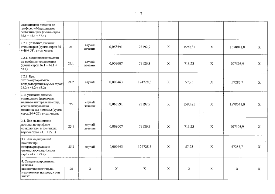
Постановление Правительства Калужской области от 11.11.2022 № 868
"О внесении изменений в постановление Правительства Калужской области от 30.12.2021 № 966 "О Программе государственных гарантий бесплатного оказания гражданам медицинской помощи в Калужской области на 2022 год и на плановый период 2023 и 2024 годов" (в ред. постановления Правительства Калужской области от 02.09.2022 № 679)"
Номер опубликования: 4000202211140007
Дата опубликования: 14.11.2022
Страница №11 из 36:
Увеличить