Официальное опубликование правовых актов
ОФИЦИАЛЬНОЕ ОПУБЛИКОВАНИЕ
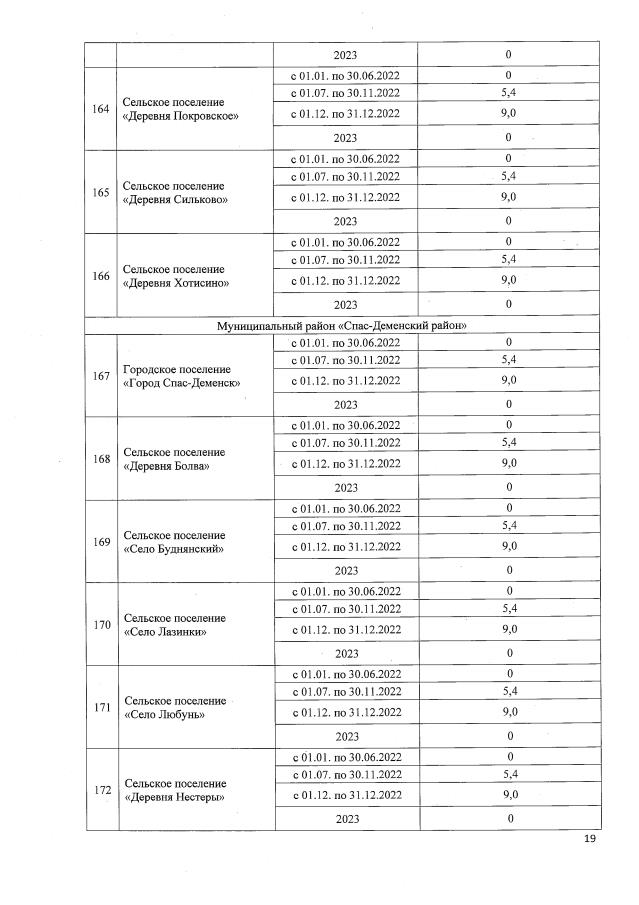
Постановление Губернатора Калужской области от 24.11.2022 № 537
"О внесении изменений в постановление Губернатора Калужской области от 15.12.2021 № 543 "Об установлении предельных (максимальных) индексов изменения размера вносимой гражданами платы за коммунальные услуги в муниципальных образованиях Калужской области на период с 1 января 2022 года по 2023 год"
Номер опубликования: 4000202211290022
Дата опубликования: 29.11.2022
Страница №21 из 746:
Увеличить