Официальное опубликование правовых актов
ОФИЦИАЛЬНОЕ ОПУБЛИКОВАНИЕ
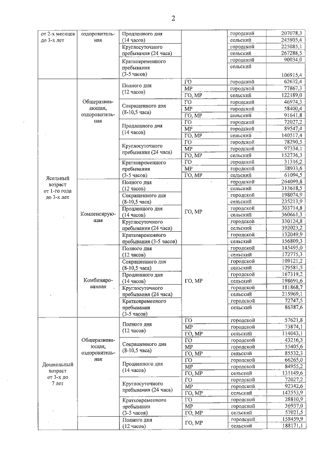
Закон Калужской области от 06.12.2022 № 307-ОЗ
"О внесении изменений в Закон Калужской области "Об установлении нормативов"
Номер опубликования: 4000202212090005
Дата опубликования: 09.12.2022
Страница №2 из 5:
Увеличить