Официальное опубликование правовых актов
ОФИЦИАЛЬНОЕ ОПУБЛИКОВАНИЕ
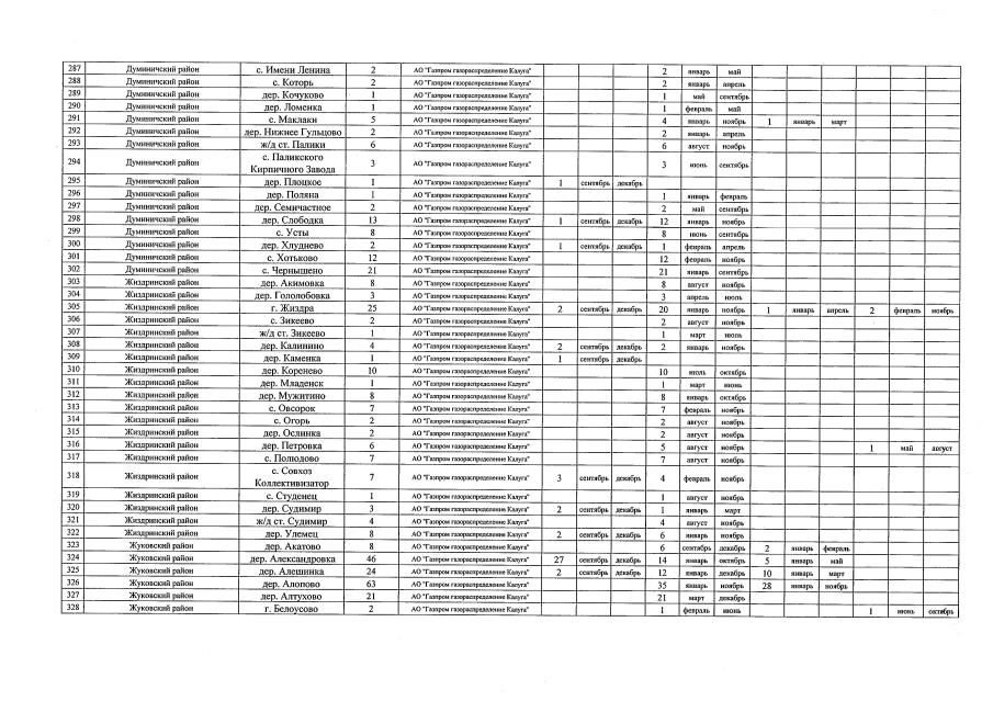
Постановление Правительства Калужской области от 22.12.2022 № 1000
"О внесении изменений в постановление Правительства Калужской области от 22.03.2018 № 172 "Об утверждении региональной программы газификации жилищно-коммунального хозяйства, промышленных и иных организаций Калужской области на 2019 - 2028 годы" (в ред. постановлений Правительства Калужской области от 30.11.2018 № 728, от 29.11.2019 № 758, от 29.07.2020 № 582, от 24.11.2020 № 884, от 30.08.2021 № 567, от 07.12.2021 № 847, от 20.05.2022 № 360, от 21.11.2022 № 903)"
Номер опубликования: 4000202212260015
Дата опубликования: 26.12.2022
Страница №9 из 142:
Увеличить