Официальное опубликование правовых актов
ОФИЦИАЛЬНОЕ ОПУБЛИКОВАНИЕ
Постановление Правительства Калужской области от 06.04.2023 № 245
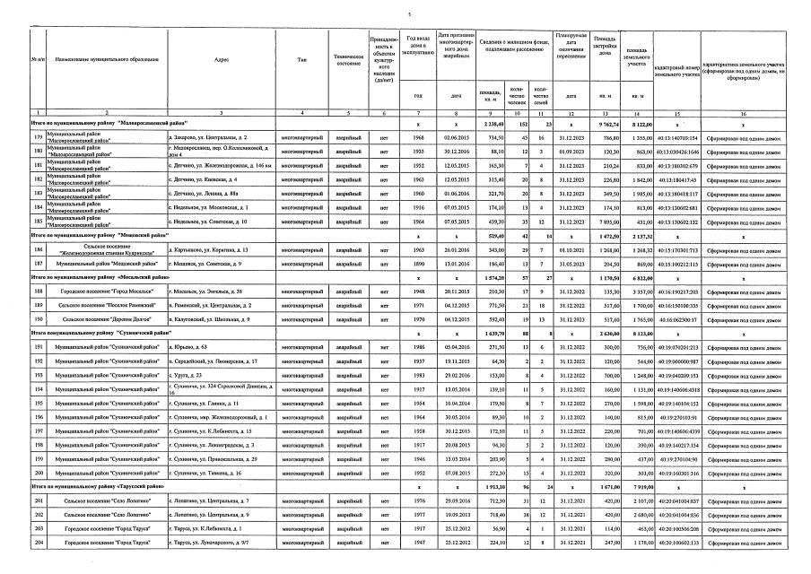
"О внесении изменений в постановление Правительства Калужской области от 25.03.2019 № 170 "Об утверждении региональной адресной программы по переселению граждан из аварийного жилищного фонда на территории муниципальных образований Калужской области на 2019 - 2025 годы" (в ред. постановлений Правительства Калужской области от 30.01.2020 № 62, от 06.10.2020 № 787, от 16.12.2020 № 963, от 29.01.2021 № 40, от 21.09.2021 № 625, от 10.02.2022 № 94, от 21.09.2022 № 722)"
Номер опубликования: 4000202304100006
Дата опубликования: 10.04.2023
Страница №8 из 15:
Увеличить