Официальное опубликование правовых актов
ОФИЦИАЛЬНОЕ ОПУБЛИКОВАНИЕ
Постановление Правительства Калужской области от 21.04.2023 № 284
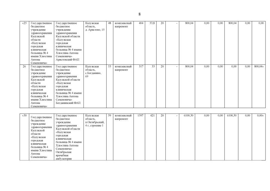
"О внесении изменений в постановление Правительства Калужской области от 15.12.2020 № 957 "Об утверждении региональной программы модернизации первичного звена здравоохранения Калужской области на 2021 - 2025 гг." (в ред. постановлений Правительства Калужской области от 30.07.2021 № 493, от 22.09.2021 № 630, от 30.11.2021 № 817, от 20.12.2021 № 905, от 20.07.2022 № 531, от 29.09.2022 № 745, от 09.11.2022 № 863)"
Номер опубликования: 4000202304240010
Дата опубликования: 24.04.2023
Страница №8 из 1911:
Увеличить