Официальное опубликование правовых актов
ОФИЦИАЛЬНОЕ ОПУБЛИКОВАНИЕ
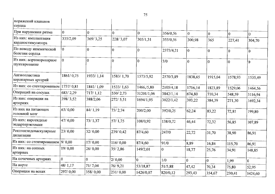
Постановление Правительства Калужской области от 08.06.2023 № 380
"О внесении изменения в постановление Правительства Калужской области от 17.06.2019 № 379 "Об утверждении региональной программы "Борьба с сердечно-сосудистыми заболеваниями" (в ред. постановлений Правительства Калужской области от 30.09.2019 № 617, от 11.09.2020 № 720, от 29.06.2021 № 408, от 14.06.2022 № 434, от 26.12.2022 № 1009)"
Номер опубликования: 4000202306140001
Дата опубликования: 14.06.2023
Страница №76 из 188:
Увеличить