Официальное опубликование правовых актов
ОФИЦИАЛЬНОЕ ОПУБЛИКОВАНИЕ
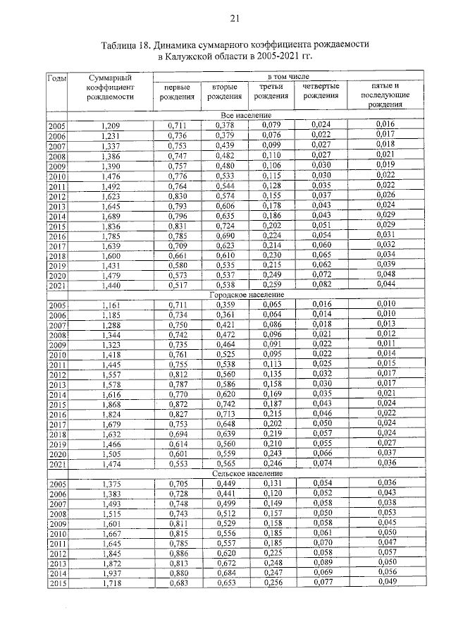
Постановление Правительства Калужской области от 28.06.2023 № 452
"Об утверждении региональной программы "Повышение рождаемости" на период 2023-2026 годов"
Номер опубликования: 4000202306300007
Дата опубликования: 30.06.2023
Страница №22 из 62:
Увеличить