Официальное опубликование правовых актов
ОФИЦИАЛЬНОЕ ОПУБЛИКОВАНИЕ
Постановление Правительства Калужской области от 22.09.2023 № 673
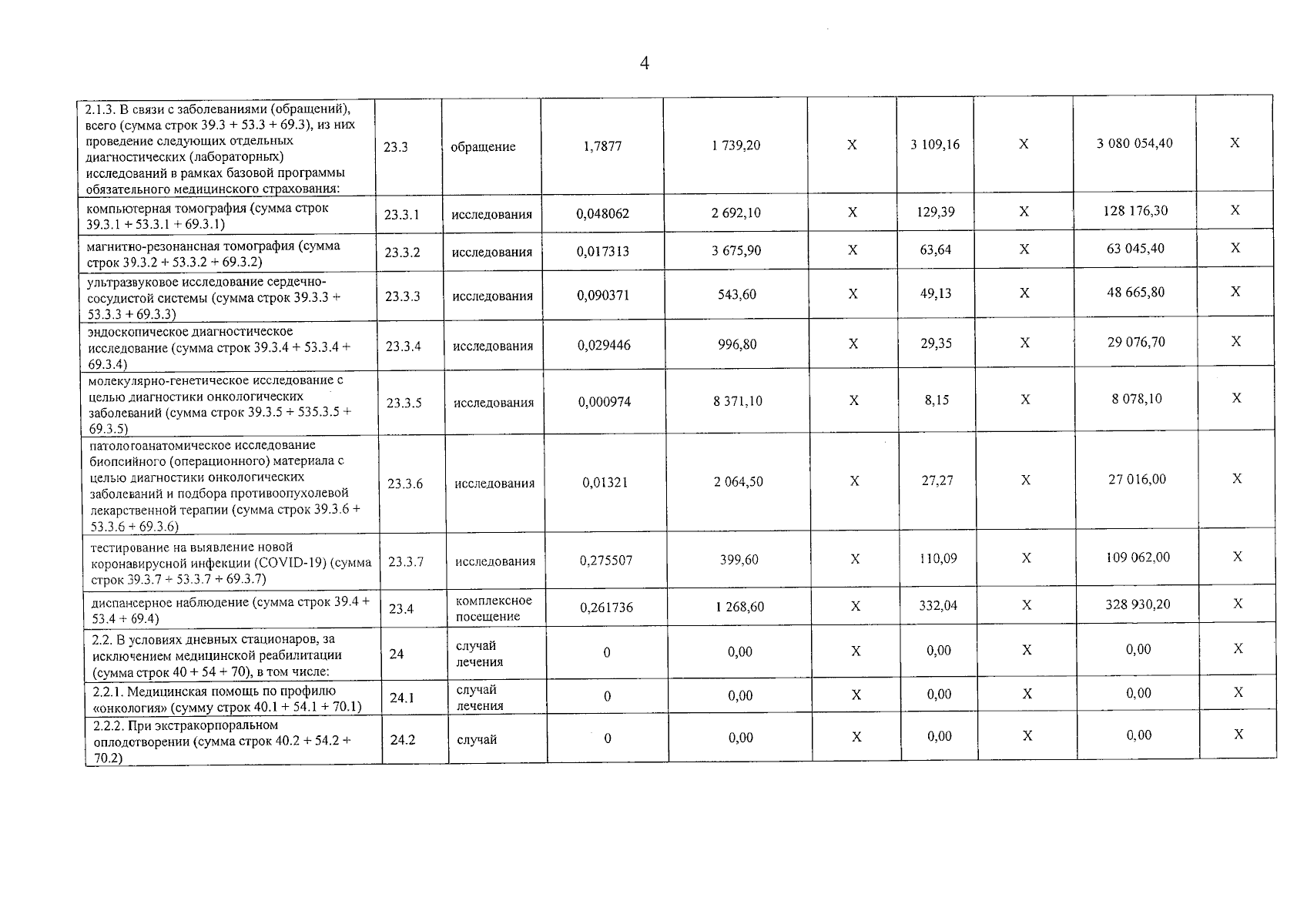
"О внесении изменений в постановление Правительства Калужской области от 30.12.2022 № 1039 "О Программе государственных гарантий бесплатного оказания гражданам медицинской помощи в Калужской области на 2023 год и на плановый период 2024 и 2025 годов" (в ред. постановлений Правительства Калужской области от 26.04.2023 № 290, от 07.06.2023 № 369)"
Номер опубликования: 4000202309250006
Дата опубликования: 25.09.2023
Страница №12 из 24:
Увеличить