Официальное опубликование правовых актов
ОФИЦИАЛЬНОЕ ОПУБЛИКОВАНИЕ
Закон Калужской области от 28.12.2023 № 441-ОЗ
"О преобразовании всех поселений, входящих в состав муниципального района "Малоярославецкий район", путем объединения и создании вновь образованного муниципального образования с наделением его статусом муниципального округа и о внесении изменений в отдельные законы Калужской области"
Номер опубликования: 4000202401010024
Дата опубликования: 01.01.2024
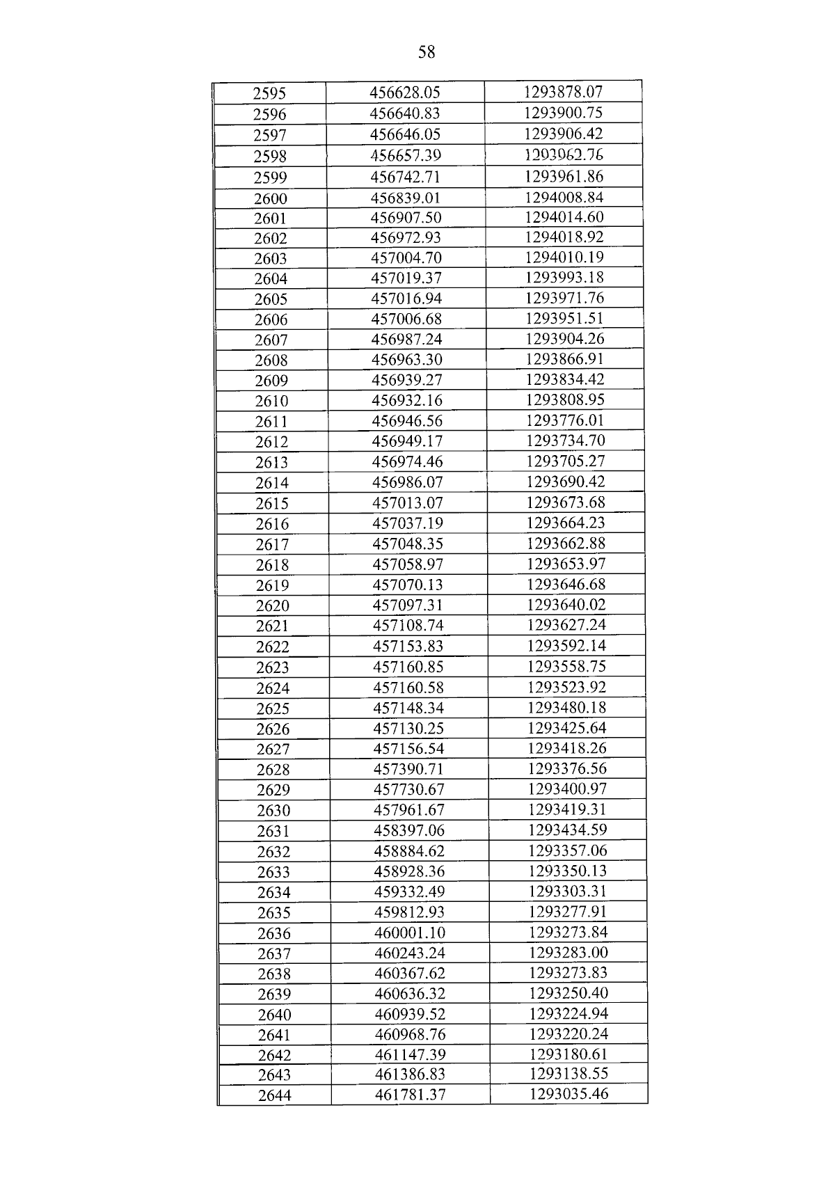
Страница №66 из 73:
Увеличить