Официальное опубликование правовых актов
ОФИЦИАЛЬНОЕ ОПУБЛИКОВАНИЕ
Постановление Губернатора Калужской области от 19.04.2024 № 211
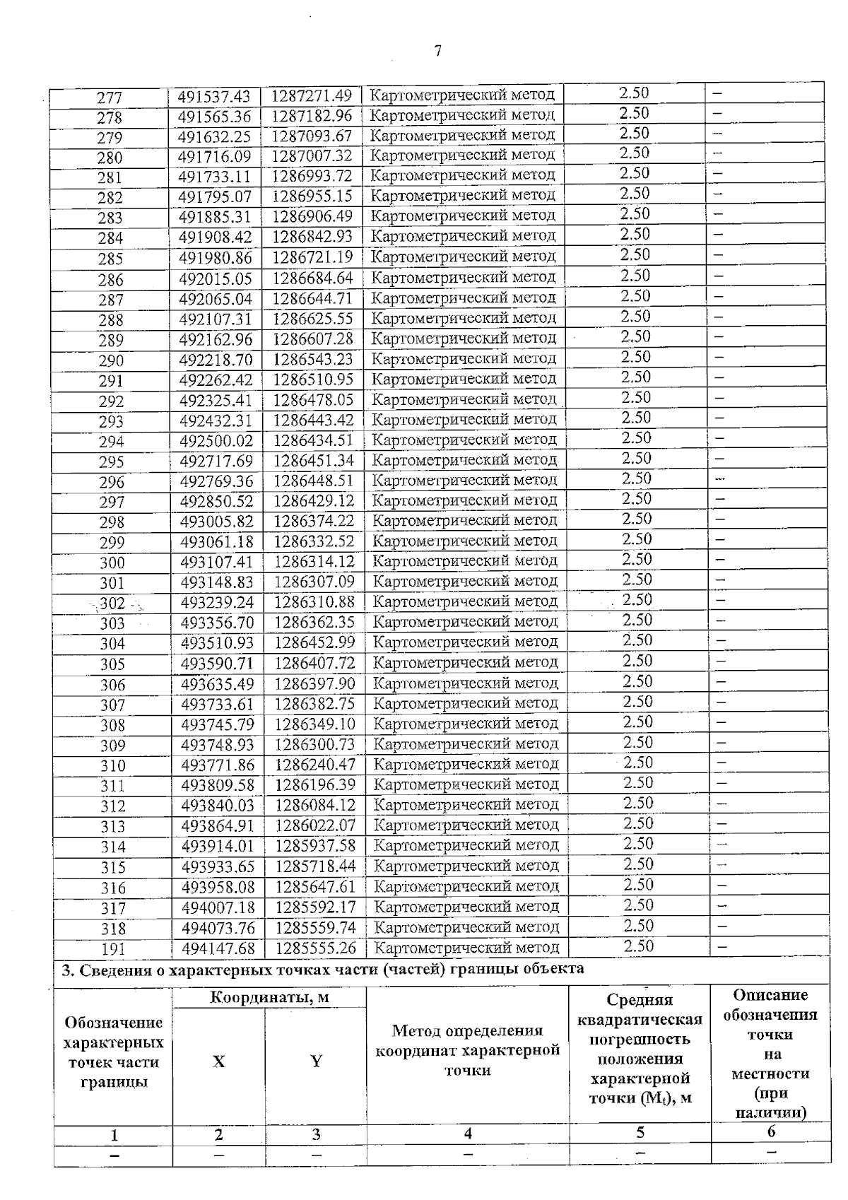
"Об установлении охранной зоны особо охраняемой природной территории регионального значения – памятника природы "Р. Бобольская с охранным ландшафтом на расстоянии 200 м в обе стороны от уреза воды"
Номер опубликования: 4000202404190001
Дата опубликования: 19.04.2024
Страница №9 из 12:
Увеличить