Официальное опубликование правовых актов
ОФИЦИАЛЬНОЕ ОПУБЛИКОВАНИЕ
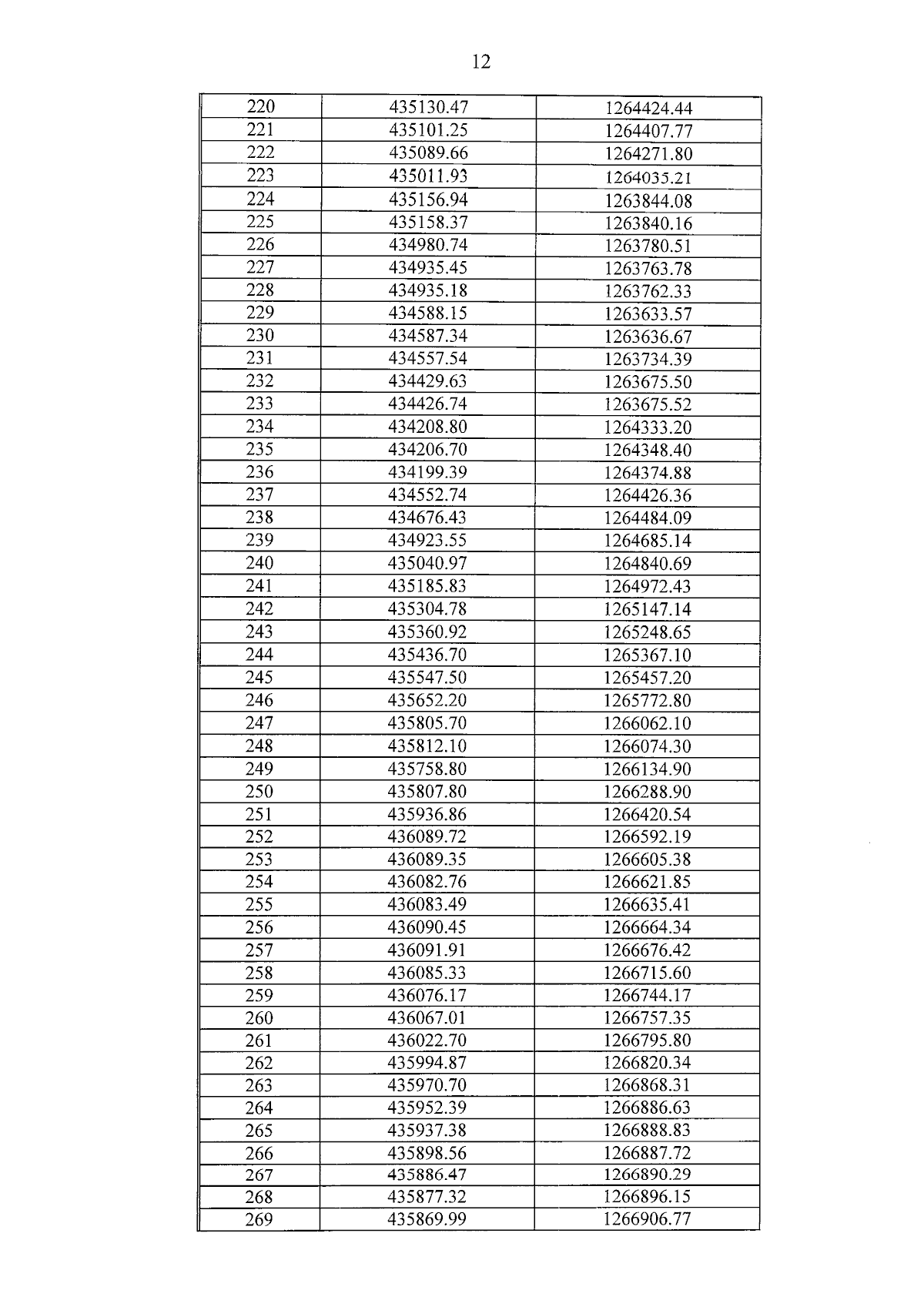
Закон Калужской области от 25.10.2024 № 537-ОЗ
"О преобразовании всех поселений, входящих в состав муниципального района "Бабынинский район", путем объединения и создании вновь образованного муниципального образования с наделением его статусом муниципального округа и о внесении изменений в отдельные законы Калужской области"
Номер опубликования: 4000202410310011
Дата опубликования: 31.10.2024
Страница №18 из 56:
Увеличить