Официальное опубликование правовых актов
ОФИЦИАЛЬНОЕ ОПУБЛИКОВАНИЕ
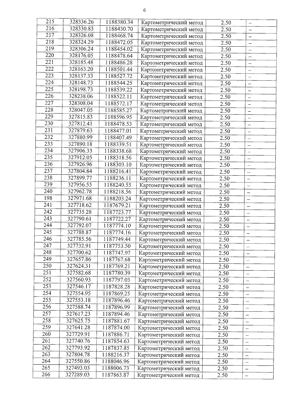
Постановление Губернатора Калужской области от 16.05.2025 № 245
"Об установлении охранной зоны особо охраняемой природной территории регионального значения – памятника природы "Лесной сосновый массив "Дубровский"
Номер опубликования: 4000202505200008
Дата опубликования: 20.05.2025
Страница №8 из 14:
Увеличить