Официальное опубликование правовых актов
ОФИЦИАЛЬНОЕ ОПУБЛИКОВАНИЕ
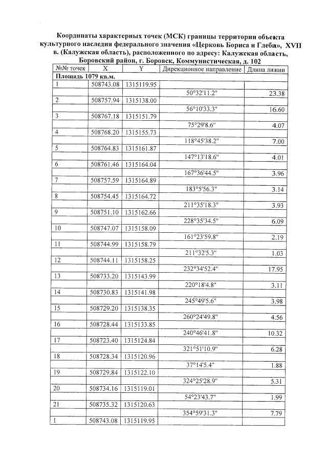
Приказ Управления по охране объектов культурного наследия Калужской области от 04.12.2018 № 380
"Об утверждении границ и режима использования территории объекта культурного наследия федерального значения "Церковь Бориса и Глеба", XVII в. (Калужская область), расположенного по адресу: Калужская область, Боровский район, г. Боровск, Коммунистическая, д. 102"
(Зарегистрирован 13.12.2018 № 8131)
Номер опубликования: 4001201812200008
Дата опубликования: 20.12.2018
Страница №3 из 6:
Увеличить