Официальное опубликование правовых актов
ОФИЦИАЛЬНОЕ ОПУБЛИКОВАНИЕ
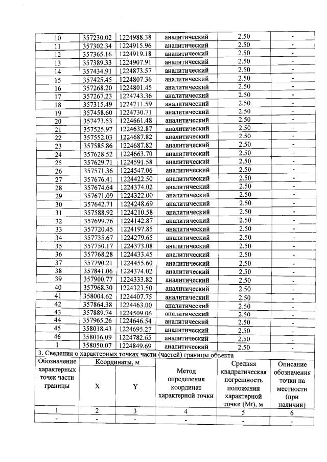
Приказ Министерства природных ресурсов и экологии Калужской области от 19.04.2022 № 306-22
"Об особо охраняемой природной территории регионального значения – памятнике природы "Хвойные насаждения"
(Зарегистрирован 27.04.2022 № 11823)
Номер опубликования: 4001202204300005
Дата опубликования: 30.04.2022
Страница №3 из 6:
Увеличить