Официальное опубликование правовых актов
ОФИЦИАЛЬНОЕ ОПУБЛИКОВАНИЕ
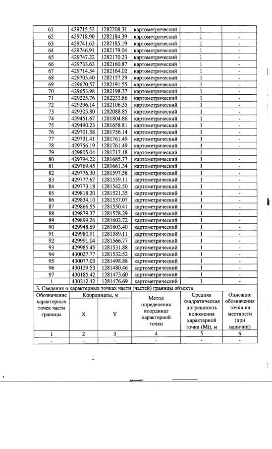
Приказ Министерства природных ресурсов и экологии Калужской области от 29.04.2022 № 336-22
"Об объявлении водопада "Каменный мост" особо охраняемой природной территорией регионального значения – памятником природы"
(Зарегистрирован 13.05.2022 № 11844)
Номер опубликования: 4001202205180005
Дата опубликования: 18.05.2022
Страница №4 из 7:
Увеличить