Официальное опубликование правовых актов
ОФИЦИАЛЬНОЕ ОПУБЛИКОВАНИЕ
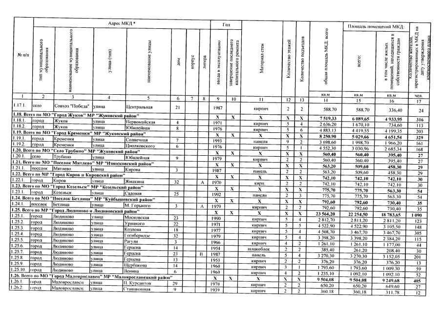
Приказ Министерства строительства и жилищно-коммунального хозяйства Калужской области от 20.05.2022 № 246
"Об утверждении краткосрочного плана реализации региональной программы капитального ремонта общего имущества в многоквартирных домах Калужской области на 2023-2025 годы"
(Зарегистрирован 02.06.2022 № 11899)
Номер опубликования: 4001202206030001
Дата опубликования: 03.06.2022
Страница №7 из 52:
Увеличить