Официальное опубликование правовых актов
ОФИЦИАЛЬНОЕ ОПУБЛИКОВАНИЕ
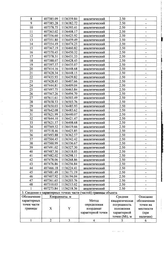
Приказ Министерства природных ресурсов и экологии Калужской области от 16.05.2022 № 370-22
"Об особо охраняемой природной территории регионального значения – памятнике природы "Парк усадьбы в д. Доброселье Куйбышевского района"
(Зарегистрирован 09.06.2022 № 11916)
Номер опубликования: 4001202206140001
Дата опубликования: 14.06.2022
Страница №3 из 7:
Увеличить