Официальное опубликование правовых актов
ОФИЦИАЛЬНОЕ ОПУБЛИКОВАНИЕ
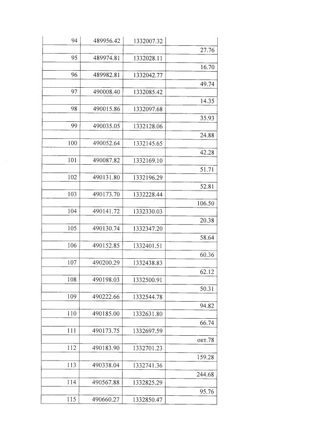
Приказ Управления по охране объектов культурного наследия Калужской области от 27.06.2022 № 79
"Об установлении зон охраны объекта культурного наследия регионального значения "Парк усадьбы Шуваловых", посл. четверть XVIII в., рубеж XIX-XX вв. (Калужская область, Жуковский район, г. Жуков, ул. Сельская, рядом с д. 17) и утверждении требований к градостроительным регламентам в границах территорий данных зон"
(Зарегистрирован 06.07.2022 № 12042)
Номер опубликования: 4001202207080008
Дата опубликования: 08.07.2022
Страница №15 из 32:
Увеличить