Официальное опубликование правовых актов
ОФИЦИАЛЬНОЕ ОПУБЛИКОВАНИЕ
Приказ Управления по охране объектов культурного наследия Калужской области от 14.06.2022 № 61
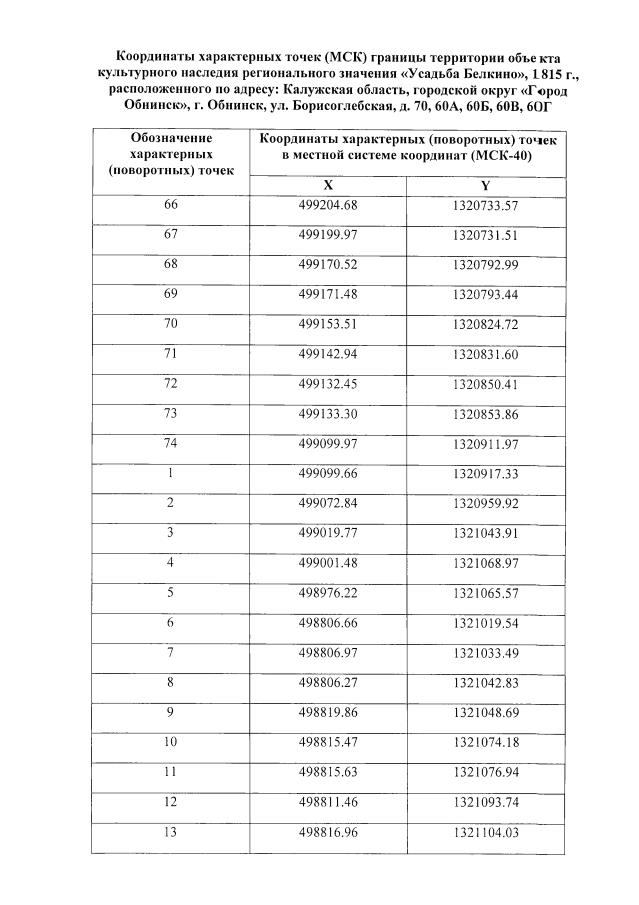
"О внесении изменений в приказ управления по охране объектов культурного наследия Калужской области от 15 сентября 2017 года № 84 "Об утверждении границ и режима использования территории объекта культурного наследия регионального значения "Усадьба Белкино", 1815 г., расположенного по адресу: Калужская область, Боровский район, дер. Белкино, ул. Борисоглебская, д. 86, 86А, 86Б, 86В, 86Г"
(Зарегистрирован 07.07.2022 № 12054)
Номер опубликования: 4001202207110002
Дата опубликования: 11.07.2022
Страница №5 из 10:
Увеличить