Официальное опубликование правовых актов
ОФИЦИАЛЬНОЕ ОПУБЛИКОВАНИЕ
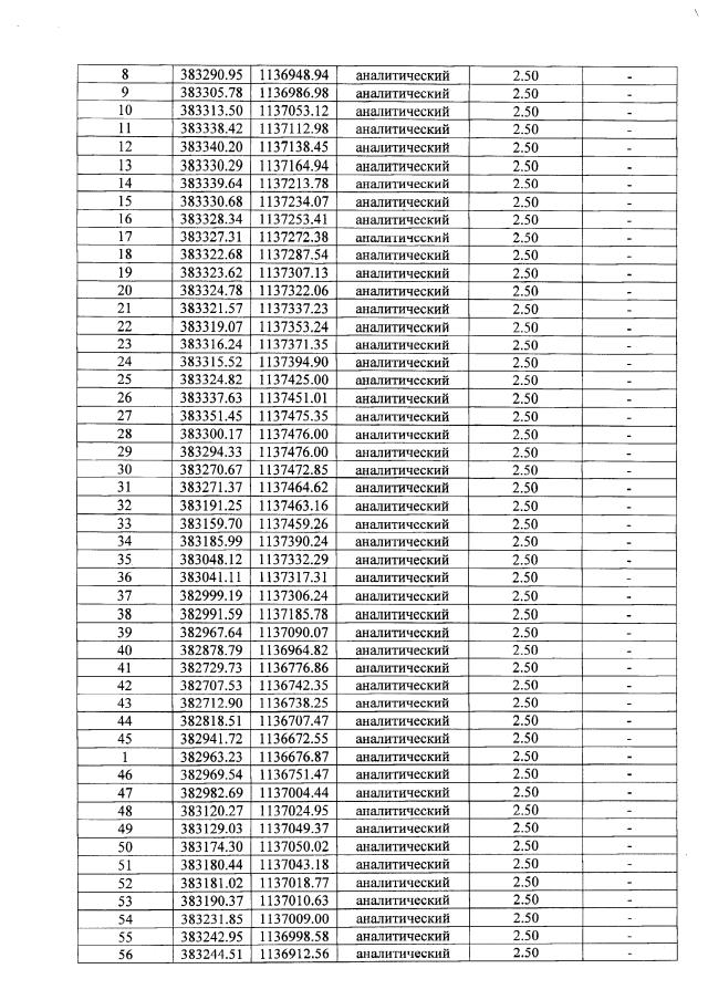
Приказ Министерства природных ресурсов и экологии Калужской области от 28.06.2022 № 497-22
"Об особо охраняемой природной территории регионального значения – памятнике природы "Парк усадьбы в д. Петровское Куйбышевского района"
(Зарегистрирован 26.07.2022 № 12111)
Номер опубликования: 4001202208010004
Дата опубликования: 01.08.2022
Страница №3 из 7:
Увеличить