Официальное опубликование правовых актов
ОФИЦИАЛЬНОЕ ОПУБЛИКОВАНИЕ
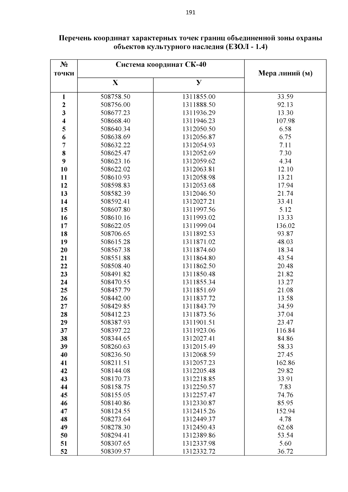
Приказ Управления по охране объектов культурного наследия Калужской области от 12.12.2024 № 126
"Об установлении объединенной зоны охраны объектов культурного наследия, расположенных на территории города Боровска Калужской области, и утверждении требований к градостроительным регламентам в границах территорий данной зоны"
(Зарегистрирован 13.01.2025 № 15128)
Номер опубликования: 4001202501150002
Дата опубликования: 15.01.2025
Страница №191 из 253:
Увеличить