Официальное опубликование правовых актов
ОФИЦИАЛЬНОЕ ОПУБЛИКОВАНИЕ
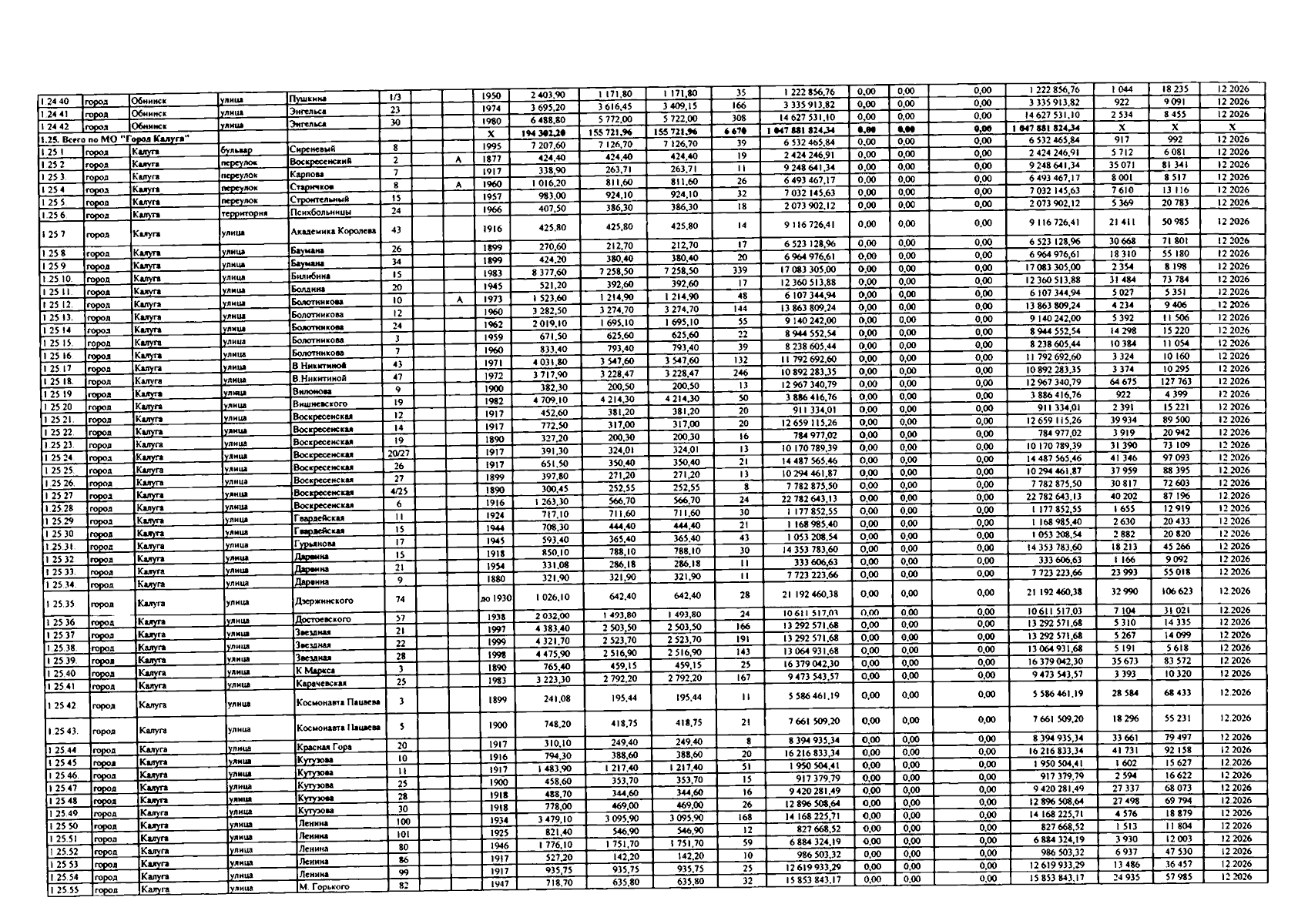
Приказ Министерства строительства и жилищно-коммунального хозяйства Калужской области от 23.01.2026 № 20
"О внесении изменений в приказ министерства строительства и жилищно-коммунального хозяйства Калужской области от 02.04.2025 № 214 "Об утверждении краткосрочного плана реализации региональной программы капитального ремонта общего имущества в многоквартирных домах Калужской области на 2026-2028 годы" (в редакции приказов министерства строительства и жилищно-коммунального хозяйства Калужской области от 14.05.2025 № 293, от 06.11.2025 № 627)"
(Зарегистрирован 05.02.2026 № 16357)
Номер опубликования: 4001202602060008
Дата опубликования: 06.02.2026
Страница №5 из 13:
Увеличить