Официальное опубликование правовых актов
ОФИЦИАЛЬНОЕ ОПУБЛИКОВАНИЕ
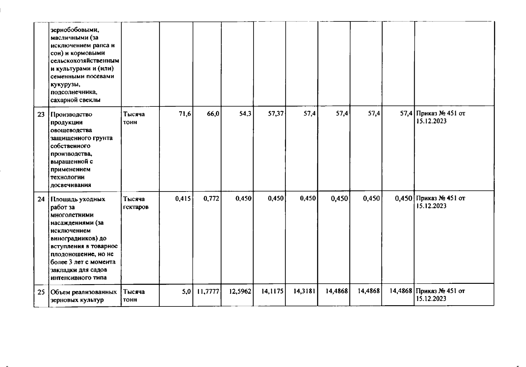
Приказ Министерства сельского хозяйства Калужской области от 26.01.2026 № 9
"О внесении изменений в приказ министерства сельского хозяйства Калужской области от 16.02.2024 № 29 "Об утверждении направления "Национальная экономика" государственной программы Калужской области "Развитие сельского хозяйства и регулирование рынков сельскохозяйственной продукции, сырья и продовольствия в Калужской области" (в ред. приказов министерства сельского хозяйства Калужской области от 12.04.2024 № 94, от 20.05.2024 № 136, от 10.06.2024 № 160, от 05.08.2024 № 225, от 25.10.2024 № 312, от 20.12.2024 № 393, от 30.01.2025 № 24, от 31.03.2025 № 106, от 26.06.2025 № 176, от 29.09.2025 № 261, от 28.11.2025 № 317)"
(Зарегистрирован 06.02.2026 № 16369)
Номер опубликования: 4001202602060011
Дата опубликования: 06.02.2026
Страница №41 из 107:
Увеличить