Официальное опубликование правовых актов
ОФИЦИАЛЬНОЕ ОПУБЛИКОВАНИЕ
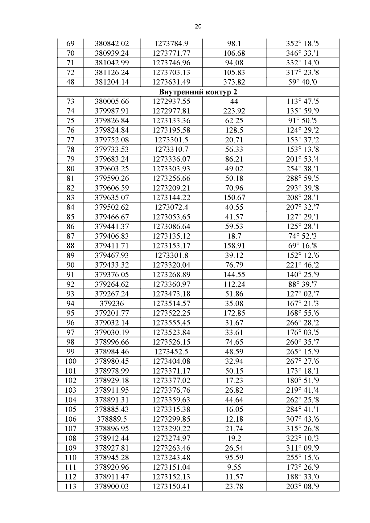
Приказ Управления по охране объектов культурного наследия Калужской области от 03.03.2026 № 30
"Об установлении объединенной зоны охраны объекта культурного наследия федерального значения "Монастырь "Оптина Пустынь", в котором бывали в разное время Гоголь Николай Васильевич, Достоевский Федор Михайлович, Толстой Лев Николаевич и др.", расположенного по адресу: Калужская область, г. Козельск, ул. Западная, владение 2, монастырь, и объекты культурного наследия регионального значения "Гостиные и жилые корпуса, хозяйственные постройки за пределами ограды монастыря Оптина Пустынь", расположенного по адресу: Калужская область, г. Козельск, ул. Лермонтова, д.2, 4, 6, 8, 10, ул. Западная, д. 3, 5, 13 и утверждении требований к градостроительным регламентам в границах территорий данных зон"
(Зарегистрирован 12.03.2026 № 16499)
Номер опубликования: 4001202603170001
Дата опубликования: 17.03.2026
Страница №20 из 50:
Увеличить