Официальное опубликование правовых актов
ОФИЦИАЛЬНОЕ ОПУБЛИКОВАНИЕ
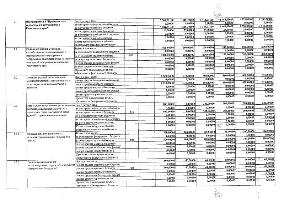
Постановление Правительства Камчатского края от 06.11.2014 № 469-П
"О внесении изменений в государственную программу Камчатского края "Профилактика правонарушений, терроризма, экстремизма, наркомании и алкоголизма в Камчатском крае на 2014-2018 годы", утверждённую постановлением Правительства Камчатского края от 29.11.2013 № 522-П"
Номер опубликования: 4100201411140009
Дата опубликования: 14.11.2014
Страница №19 из 28:
Увеличить