Официальное опубликование правовых актов
ОФИЦИАЛЬНОЕ ОПУБЛИКОВАНИЕ
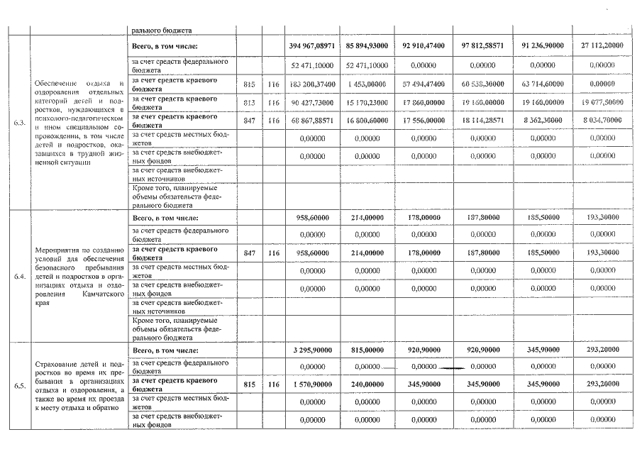
Постановление Правительства Камчатского края от 18.08.2015 № 294-П
"О внесении изменений в государственную программу Камчатского края "Физическая культура, спорт, молодёжная политика, отдых и оздоровление детей в Камчатском крае на 2014-2018 годы", утверждённую постановлением Правительства Камчатского края от 29.11.2013 № 552-П"
Номер опубликования: 4100201508200013
Дата опубликования: 20.08.2015
Страница №26 из 39:
Увеличить