Официальное опубликование правовых актов
ОФИЦИАЛЬНОЕ ОПУБЛИКОВАНИЕ
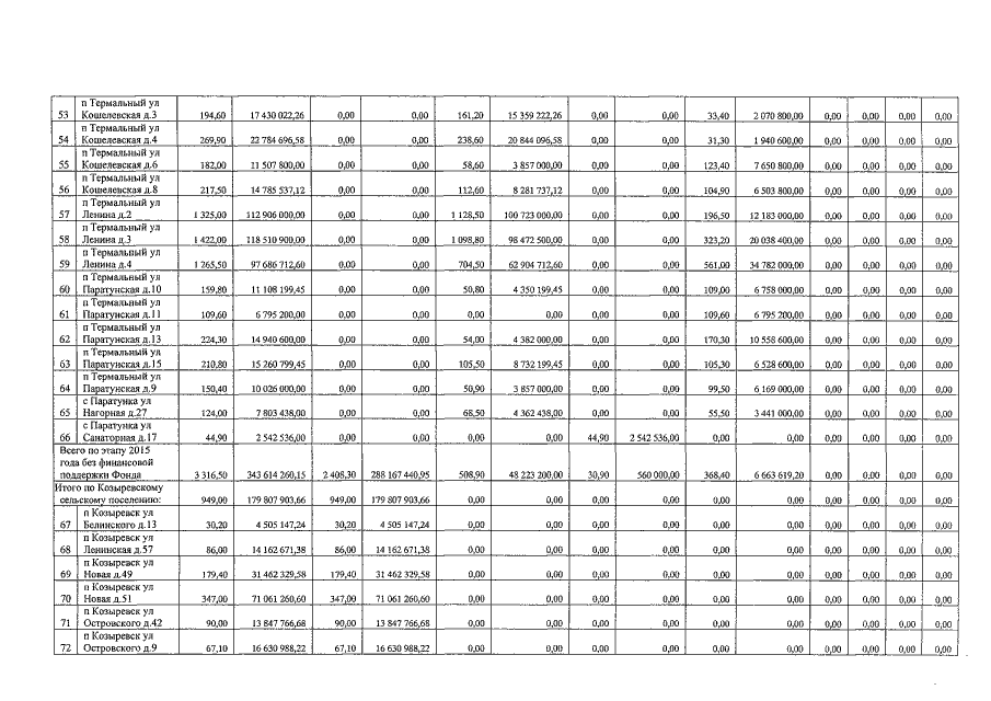
Постановление Правительства Камчатского края от 09.03.2016 № 66-П
"О внесении изменений в постановление Правительства Камчатского края от 22.11.2013 № 520-П "Об утверждении государственной программы Камчатского края "Обеспечение доступным и комфортным жильем жителей Камчатского края на 2014-2018 годы"
Номер опубликования: 4100201603140001
Дата опубликования: 14.03.2016
Страница №31 из 73:
Увеличить