Официальное опубликование правовых актов
ОФИЦИАЛЬНОЕ ОПУБЛИКОВАНИЕ
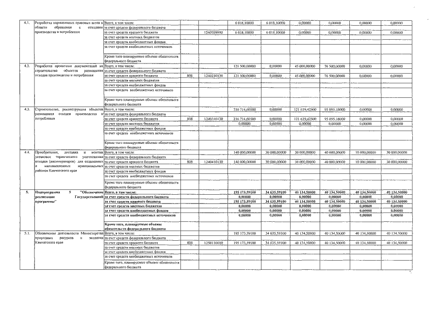
Постановление Правительства Камчатского края от 14.11.2016 № 447-П
"О внесении изменений в государственную программу Камчатского края "Охрана окружающей среды, воспроизводство и использование природных ресурсов в Камчатском крае на 2016-2020 годы", утверждённую постановлением Правительства Камчатского края от 25.12.2015 № 494-П"
Номер опубликования: 4100201611210025
Дата опубликования: 21.11.2016
Страница №8 из 8:
Увеличить