Официальное опубликование правовых актов
ОФИЦИАЛЬНОЕ ОПУБЛИКОВАНИЕ
Постановление Правительства Камчатского края от 19.12.2016 № 501-П
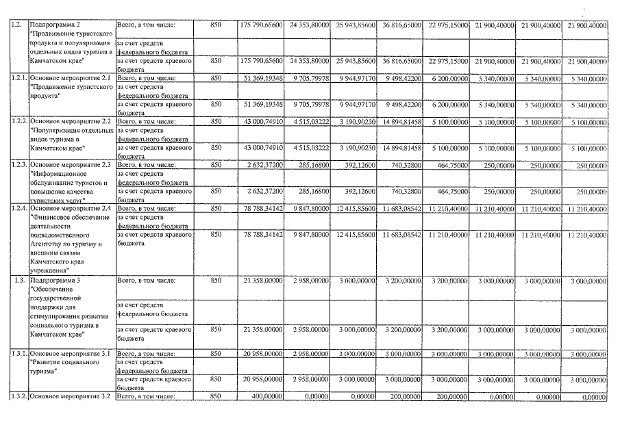
"О внесении изменений постановление Правительства Камчатского края от 29.11.2013 № 554-П "О государственной программе Камчатского края "Развитие внутреннего и въездного туризма в Камчатском крае на 2014-2018 годы"
Номер опубликования: 4100201612270010
Дата опубликования: 27.12.2016
Страница №22 из 26:
Увеличить