Официальное опубликование правовых актов
ОФИЦИАЛЬНОЕ ОПУБЛИКОВАНИЕ
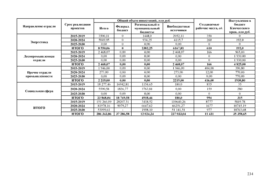
Постановление Правительства Камчатского края от 09.01.2018 № 1-П
"О внесении изменений в постановление Правительства Камчатского края от 27.07.2010 № 332-П "Об утверждении Стратегии социально-экономического развития Камчатского края до 2025 года"
Номер опубликования: 4100201801100001
Дата опубликования: 10.01.2018
Страница №235 из 332:
Увеличить