Официальное опубликование правовых актов
ОФИЦИАЛЬНОЕ ОПУБЛИКОВАНИЕ
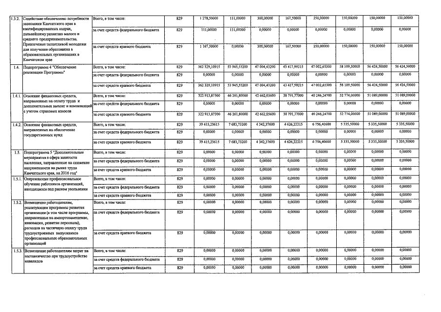
Постановление Правительства Камчатского края от 21.05.2018 № 208-П
"О внесении изменений в государственную программу Камчатского края "Содействие занятости населения Камчатского края", утвержденную постановлением Правительства Камчатского края от 11.11.2013 № 490-П"
Номер опубликования: 4100201805250004
Дата опубликования: 25.05.2018
Страница №13 из 15:
Увеличить