Официальное опубликование правовых актов
ОФИЦИАЛЬНОЕ ОПУБЛИКОВАНИЕ
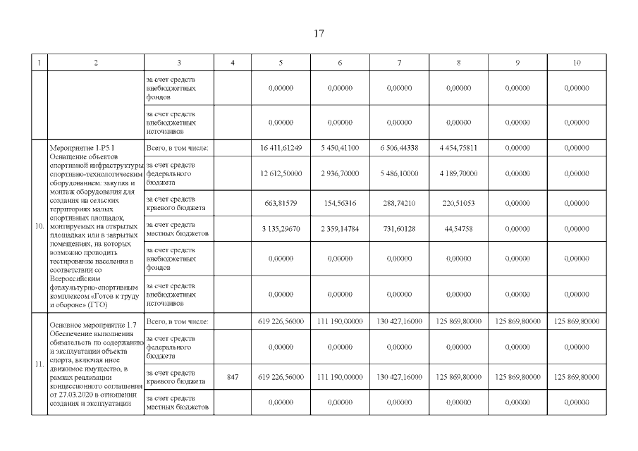
Постановление Правительства Камчатского края от 13.02.2023 № 73-П
"О внесении изменений в государственную программу Камчатского края "Развитие физической культуры и спорта в Камчатском крае", утвержденную постановлением Правительства Камчатского края от 29.11.2013 № 552-П"
Номер опубликования: 4100202302140007
Дата опубликования: 14.02.2023
Страница №17 из 32:
Увеличить