Официальное опубликование правовых актов
ОФИЦИАЛЬНОЕ ОПУБЛИКОВАНИЕ
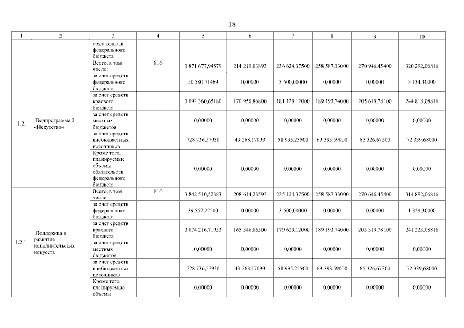
Постановление Правительства Камчатского края от 19.07.2023 № 400-П
"О внесении изменений в государственную программу Камчатского края "Развитие культуры в Камчатском крае", утвержденную постановлением Правительства Камчатского края от 29.11.2013 № 545-П"
Номер опубликования: 4100202307210003
Дата опубликования: 21.07.2023
Страница №18 из 50:
Увеличить