Официальное опубликование правовых актов
ОФИЦИАЛЬНОЕ ОПУБЛИКОВАНИЕ
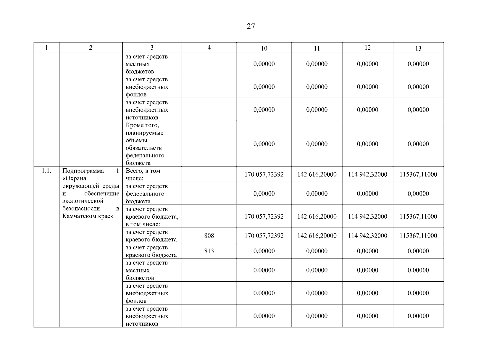
Постановление Правительства Камчатского края от 20.09.2023 № 494-П
"О внесении изменений в государственную программу Камчатского края "Охрана окружающей среды, воспроизводство и использование природных ресурсов в Камчатском крае", утвержденную постановлением Правительства Камчатского края от 03.11.2017 № 460-П"
Номер опубликования: 4100202309210003
Дата опубликования: 21.09.2023
Страница №27 из 47:
Увеличить