Официальное опубликование правовых актов
ОФИЦИАЛЬНОЕ ОПУБЛИКОВАНИЕ
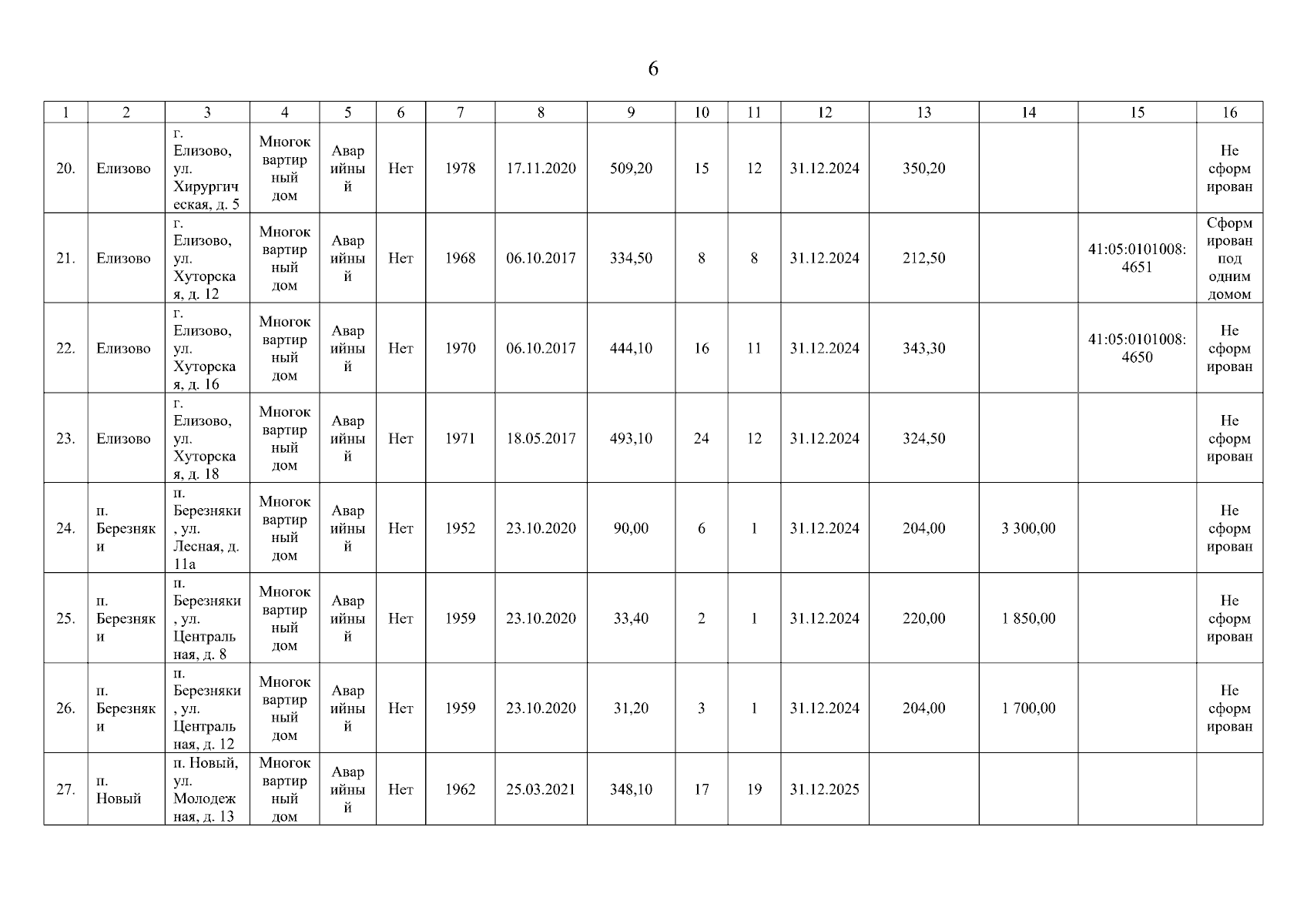
Постановление Правительства Камчатского края от 17.11.2023 № 571-П
"О внесении изменения в приложение 1 к региональной адресной программе "Переселение граждан из аварийного жилищного фонда на территории Камчатского края", утвержденной постановлением Правительства Камчатского края от 17.05.2023 № 271-П"
Номер опубликования: 4100202311170007
Дата опубликования: 17.11.2023
Страница №6 из 53:
Увеличить