Официальное опубликование правовых актов
ОФИЦИАЛЬНОЕ ОПУБЛИКОВАНИЕ
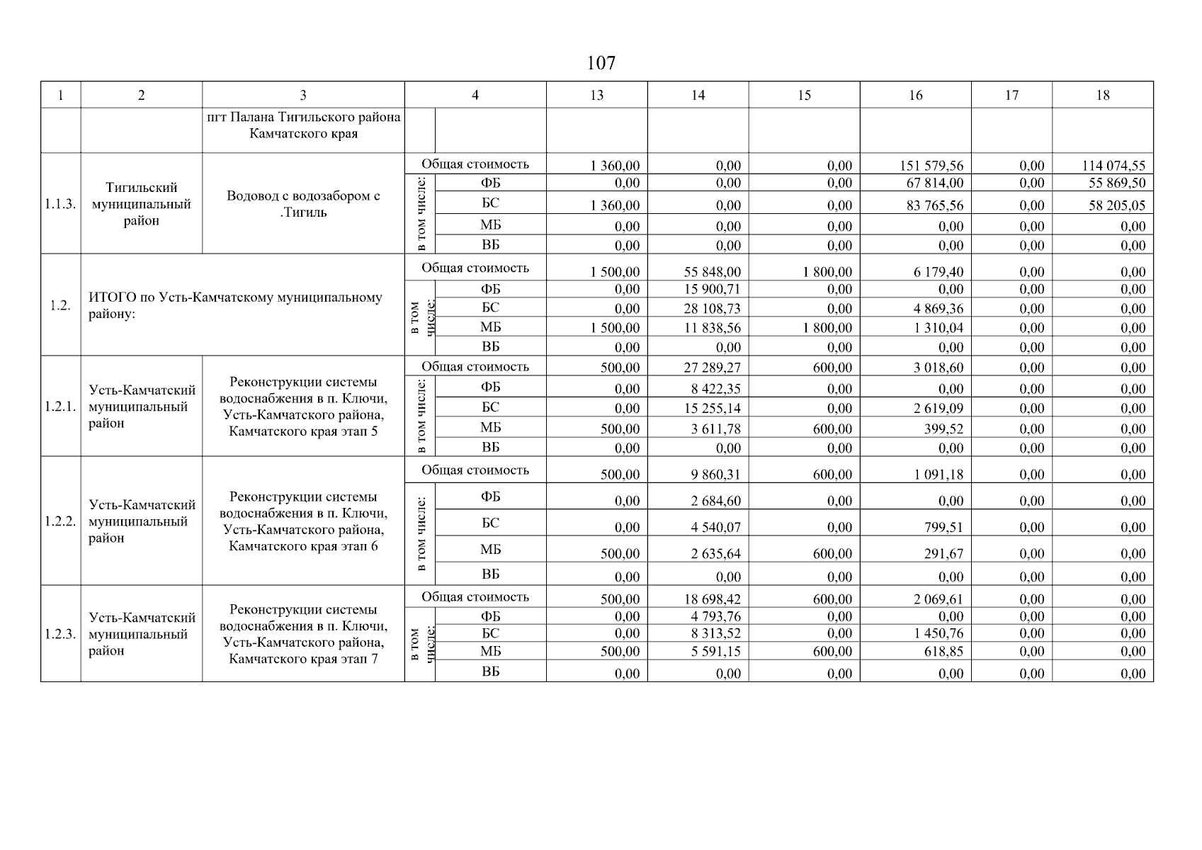
Постановление Правительства Камчатского края от 20.12.2023 № 650-П
"О внесении изменений в государственную программу Камчатского края "Энергоэффективность, развитие энергетики и коммунального хозяйства, обеспечение жителей населенных пунктов Камчатского края коммунальными услугами", утвержденную постановлением Правительства Камчатского края от 29.11.2013 № 525-П"
Номер опубликования: 4100202312200001
Дата опубликования: 20.12.2023
Страница №107 из 112:
Увеличить