Официальное опубликование правовых актов
ОФИЦИАЛЬНОЕ ОПУБЛИКОВАНИЕ
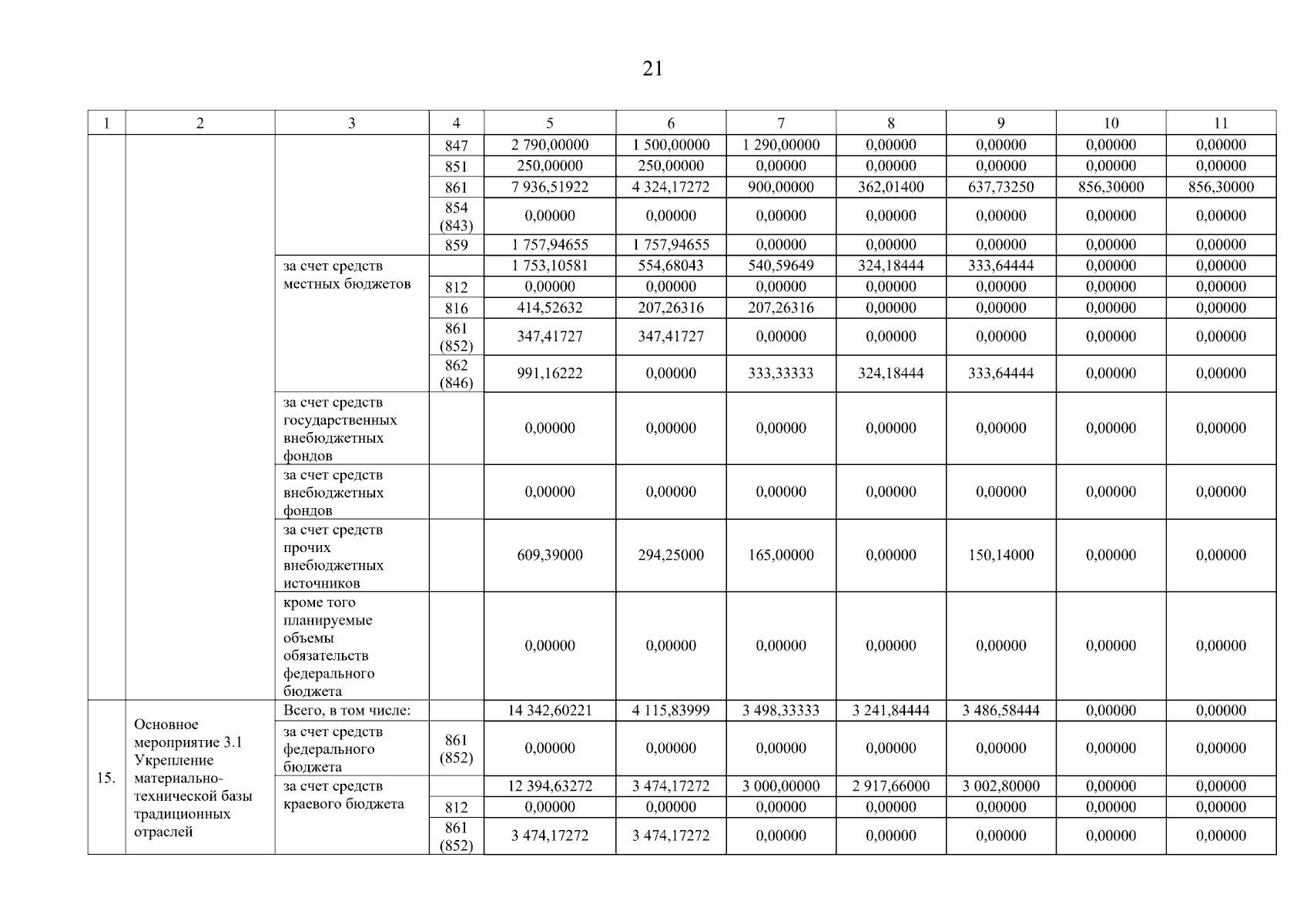
Постановление Правительства Камчатского края от 22.12.2023 № 680-П
"О внесении изменений в государственную программу Камчатского края "Реализация государственной национальной политики и укрепление гражданского единства в Камчатском крае", утвержденную постановлением Правительства Камчатского края от 29.11.2013 № 546-П"
Номер опубликования: 4100202312220032
Дата опубликования: 22.12.2023
Страница №21 из 35:
Увеличить