Официальное опубликование правовых актов
ОФИЦИАЛЬНОЕ ОПУБЛИКОВАНИЕ
Постановление Правительства Камчатского края от 12.04.2024 № 174-П
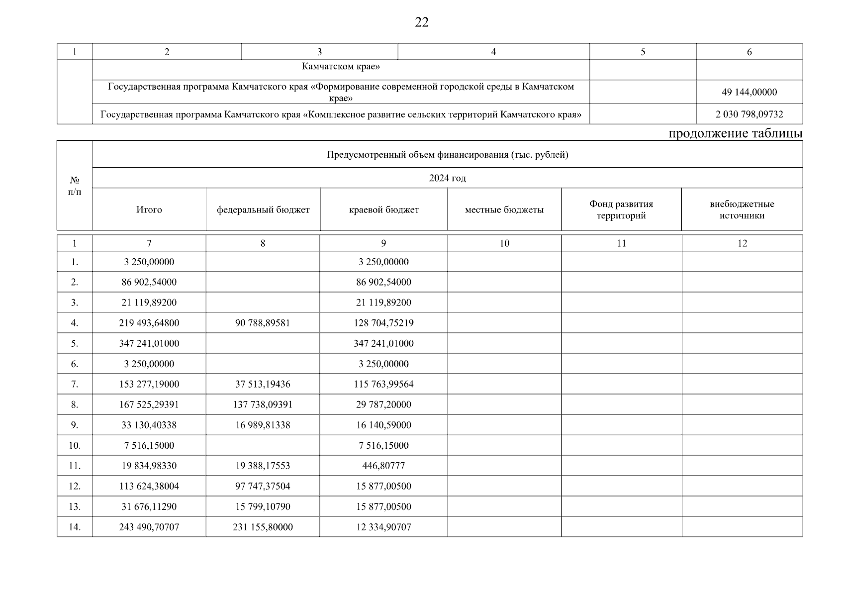
"О внесении изменения в приложение к постановлению Правительства Камчатского края от 23.11.2023 № 585-П "Об утверждении инвестиционной программы Камчатского края на 2024 год и на плановый период 2025–2026 годов и прогнозный период 2027–2028 годов"
Номер опубликования: 4100202404120009
Дата опубликования: 12.04.2024
Страница №22 из 79:
Увеличить