Официальное опубликование правовых актов
ОФИЦИАЛЬНОЕ ОПУБЛИКОВАНИЕ
Постановление Правительства Камчатского края от 16.09.2025 № 394-П
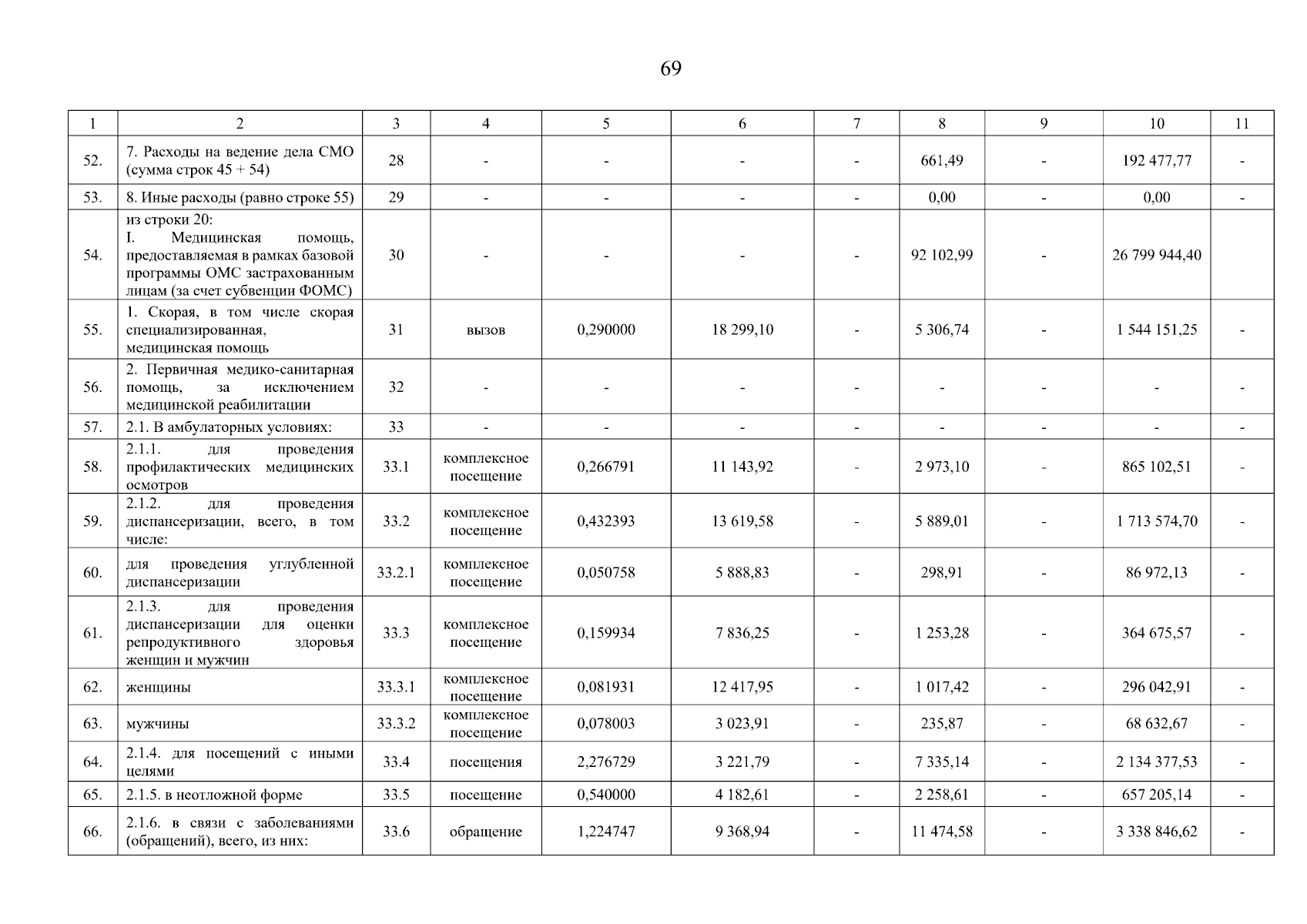
"О внесении изменений в приложение к постановлению Правительства Камчатского края от 28.12.2024 № 691-П "Об утверждении Территориальной программы государственных гарантий бесплатного оказания гражданам медицинской помощи на территории Камчатского края на 2025 год и на плановый период 2026 и 2027 годов"
Номер опубликования: 4100202509170004
Дата опубликования: 17.09.2025
Страница №69 из 83:
Увеличить