Официальное опубликование правовых актов
ОФИЦИАЛЬНОЕ ОПУБЛИКОВАНИЕ
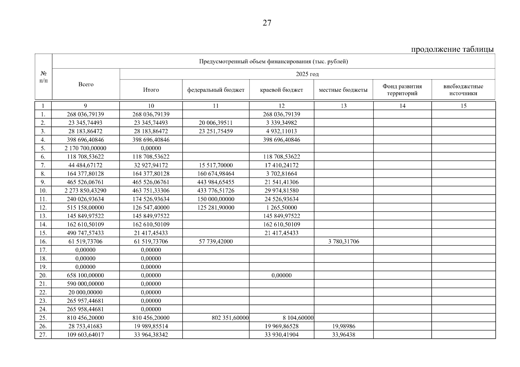
Постановление Правительства Камчатского края от 26.09.2025 № 407-П
"О внесении изменения в приложение 1 к постановлению Правительства Камчатского края от 17.12.2024 № 617-П "Об утверждении инвестиционной программы Камчатского края на 2025 год, на плановый период 2026–2027 годов и прогнозный период 2028–2029 годов"
Номер опубликования: 4100202510010007
Дата опубликования: 01.10.2025
Страница №27 из 81:
Увеличить