Официальное опубликование правовых актов
ОФИЦИАЛЬНОЕ ОПУБЛИКОВАНИЕ
Постановление Правительства Камчатского края от 23.01.2026 № 13-П
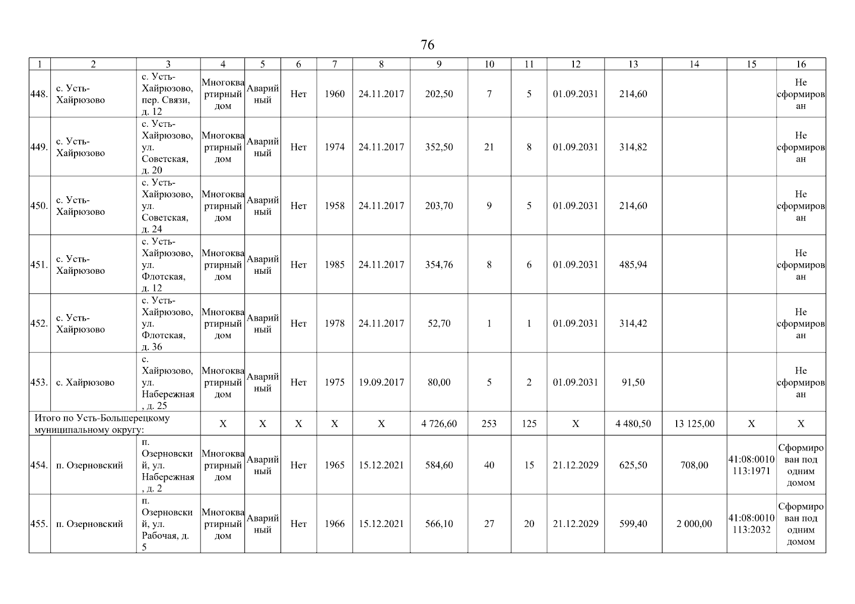
"О внесении изменений в приложение к постановлению Правительства Камчатского края от 17.05.2023 № 271-П "Об утверждении региональной адресной программы "Переселение граждан из аварийного жилищного фонда на территории Камчатского края"
Номер опубликования: 4100202601230004
Дата опубликования: 23.01.2026
Страница №76 из 121:
Увеличить